Kurir
Kurir
  • Naslovna
  • Najnovije
  • Vesti
  • Stars
  • Sport
  • Hronika
  • Planeta
  • Zabava
  • Biznis
  • Zdravlje
  • Stil kurir
  • TechVision
  • Održiva budućnost
  • Region
  • News
  • Izbor urednika
Još
KategorijeOstalo
  • Bosna i Hercegovina
  • Crna Gora
  • Severna Makedonija
  • Hrvatska
Još
  • Naslovna
  • Najnovije
  • Vesti
  • Stars
  • Sport
  • Hronika
  • Planeta
  • Zabava
  • Biznis
  • Zdravlje
  • Stil kurir
  • TechVision
  • Održiva budućnost
  • Region
  • News
  • Izbor urednika
Još
TV Uživo
KategorijeOstalo
  • Bosna i Hercegovina
  • Crna Gora
  • Severna Makedonija
  • Hrvatska
Još
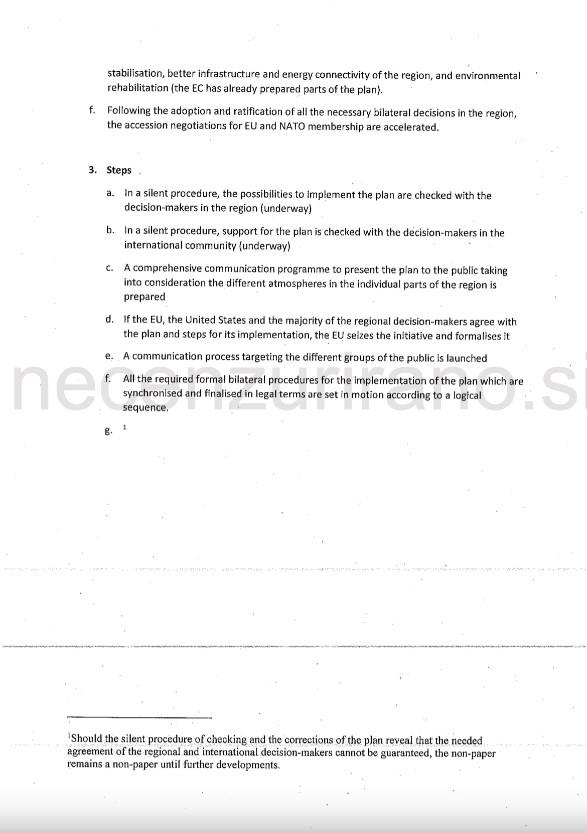
SLOVENAČKI MEDIJI OBJAVILI JANŠIN PREDLOG: Evo šta piše u non-pejperu koji je ustalasao region
Reaguj
 8
non-pejper1.jpg
1 / 2
Printscreen/necenzurirano.si
Printscreen/necenzurirano.si 
non-pejper.jpg
2 / 2
Printscreen/necenzurirano.si
Printscreen/necenzurirano.si 
Reaguj
 8
Kurir
  • Naslovna
  • Najnovije
  • Vesti
  • Stars
  • Sport
  • Hronika
  • Planeta
  • Zabava
  • Biznis
  • Zdravlje
  • Stil kurir
  • TechVision
  • Održiva budućnost
  • Region
  • News
  • Marketing
  • Kontakt
  • Impressum
  • Politika o kolačićima
  • Arhiva
  • Politika privatnosti
  • Uslovi korišćenja
© 2026. MONDO, Inc. Sva prava zadržana.