Kurir
Kurir
  • Naslovna
  • Najnovije
  • Vesti
  • Stars
  • Sport
  • Hronika
  • Planeta
  • Zabava
  • Biznis
  • Zdravlje
  • Stil kurir
  • TechVision
  • Održiva budućnost
  • Region
  • News
  • Izbor urednika
Još
KategorijeOstalo
  • Politika
  • Društvo
  • Specijal
  • Moja priča
  • Srbija
  • SRBI NA KIM
  • Lični stav
  • Beograd
  • Edukacija
  • Pretvorimo otpad u snagu
Još
  • Naslovna
  • Najnovije
  • Vesti
  • Stars
  • Sport
  • Hronika
  • Planeta
  • Zabava
  • Biznis
  • Zdravlje
  • Stil kurir
  • TechVision
  • Održiva budućnost
  • Region
  • News
  • Izbor urednika
Još
TV Uživo
KategorijeOstalo
  • Politika
  • Društvo
  • Specijal
  • Moja priča
  • Srbija
  • SRBI NA KIM
  • Lični stav
  • Beograd
  • Edukacija
  • Pretvorimo otpad u snagu
Još
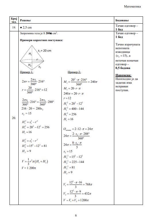
OVO SU REŠENJA TESTA IZ MATEMATIKE! Završen drugi dan male mature! Proverite da li ste dobro uradili (FOTO)
Reaguj
 3
screenshot-20240619-114446.jpg
1 / 6
Ministarstvo Prosvete Printscreen
Ministarstvo Prosvete Printscreen 
screenshot-20240619-114500.jpg
2 / 6
Ministarstvo Prosvete Printscreen
Ministarstvo Prosvete Printscreen 
screenshot-20240619-114504.jpg
3 / 6
Ministarstvo Prosvete Printscreen
Ministarstvo Prosvete Printscreen 
screenshot-20240619-114456.jpg
4 / 6
Ministarstvo Prosvete Printscreen
Ministarstvo Prosvete Printscreen 
screenshot-20240619-114514.jpg
5 / 6
Ministarstvo Prosvete Printscreen
Ministarstvo Prosvete Printscreen 
screenshot-20240619-114520.jpg
6 / 6
Ministarstvo Prosvete Printscreen
Ministarstvo Prosvete Printscreen 
Reaguj
 3
Kurir
  • Naslovna
  • Najnovije
  • Vesti
  • Stars
  • Sport
  • Hronika
  • Planeta
  • Zabava
  • Biznis
  • Zdravlje
  • Stil kurir
  • TechVision
  • Održiva budućnost
  • Region
  • News
  • Marketing
  • Kontakt
  • Impressum
  • Politika o kolačićima
  • Arhiva
  • Politika privatnosti
  • Uslovi korišćenja
  • Zaposlenje
© 2026. MONDO, Inc. Sva prava zadržana.