Nakon što je Miljana Kulić podelila sa svima na Instagramu skandaloznu poruku, u kojoj tvrdi da je zatekla dečka Lazara Čolića Zolu kako navodno, kako je navela, šmrče, opet se oglasila pa objavila fotografije sa navodnog poligrafskog ispitivanja.

screenshot-13.jpg
Foto: Printscreen/Instagram

"Zolu sam isterala iz stana jer sam ga zatekla sa mojom knjižicom i novčanikom da uzma kokain. Mnogo sam uznemirena, ne mogu da se smirim jer sam po ko zna koji put ispala budala zato što nikoga ne slušam. To je cela istina i to na Veliki petak", samo je deo Miljanine potresne poruke koju je objavila na svom Instagram profilu.

screenshot-12.jpg
Foto: Printscreen

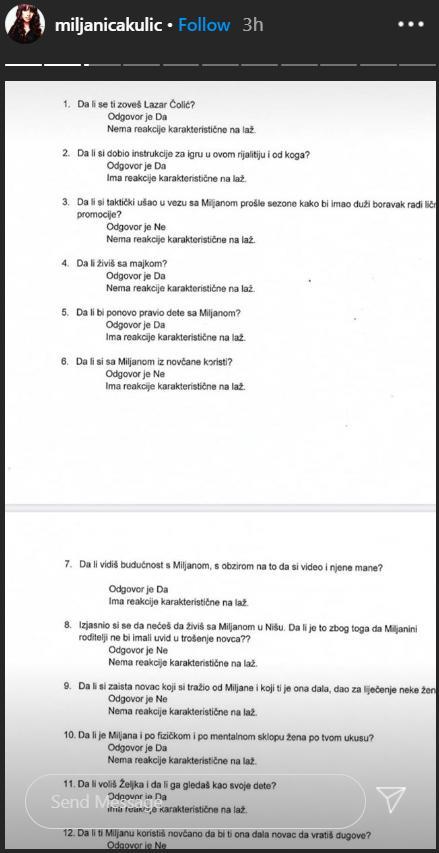
Naime, Kulićka je objavila spisak pitanja sa poligrafa na koja je navodno Lazar Čolić Zola odgovarao, a ovo je verovatno jedan od dokaza zbog čega ga je izbacila iz stana.

screenshot-30.jpg
Foto: Printscreen/Instagram
screenshot-31.jpg
Foto: Printscreen/Instagram

Kurir.rs / M.M.