Špijuni američke obaveštajne službe u svojim radnim zadacima nikad nisu zaobilazili Srbiju. To još jednom potvrđuje najnoviji dokument obelodanjen na zvaničnom CIA sajtu koji datira od 29. septembara 2000. godine, šest dana pre Petooktobarskih promena, kada je sa vlasti skinut dotadašnji predsednik Savezne Republike Jugoslavije, Slobodan Milošević.

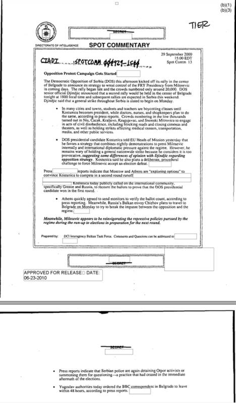
"Počela je kampanja opozicionih protesta. Demokratska opozicija Srbije (DOS) ovoga popodneva započela je okupljanje u centru Beograda kako bi objavila strategiju za preuzimanje kontrole nad predsedavanjem SRJ od Miloševića u narednim danima. Skup je počeo kasno i masa je brojala samo oko 20 000. Visoki zvaničnik DOS, Đinđić, objavio je da će drugi skup biti održan u centru Beograda, večeras u 18:00 časova po lokalnom vremenu, a dodatni skupovi su očekivani po Srbiji ovog vikenda. Đinđić je rekao da je planirano da generalni štrajk širom Srbije počne u ponedeljak. U mnogim gradovima i opštinama, učenici i nastavnici bojkotuju nastavu dok Koštunica ne postane predsednik, a doktori, medicinske sestre i trgovci planiraju da urade isto, sudeći po izveštajima novina", navodi se između ostalog u dokumentu koji je je objavljen na zvaninom sajtu Američke obaveštajne službe.

1671975560-1646904853cia-document-dos-foto-printscreen.jpg
Foto: RINA

Poznato je da je pedesetih godina prošlog veka američka Centralna obaveštajna služba sačinila i špijunske izveštaje iz Čačka, sa kojih se takođe postepeno skidaju oznake tajnosti. Zanimalo ih je, pre svega, šta se radi u vojsci, armijskim i novim industrijskim preduzećima. Privredna i vojna špijunaža bile su osnovni zadaci, pa je samo jedan od 13 rečenih dokumenata, i to iz 1951, sadržavao podatke o antikomunističkom pokretu otpora u zapadnoj Srbiji.

1671975560-16469049471597051750stajeciatrazilaucackufotorina1.jpg
Foto: RINA

"Iz današnjeg ugla lako je uočiti da su ti špijunski izveštaji bili jezgroviti, sa podacima skoro stopostotno tačnim. A tamo gde je špijun bio u nedoumici, naznačio bi da je podatak neproveren, preuzet iz štampe ili je reč o indicijama. Ako nešto nije video, naveo bi da je vest dobio od 'informatora', dakle od našeg čoveka doušnika, vrbovanog ili plaćenog", rekao je za RINU novinar Gvozden Otašević, koji je napisao knjigu "Šta je CIA tražila u Čačku".

1671975559-16469050361597053679gvozdenotasevicfotorin.jpg
Foto: RINA

Iz Čačka u Ameriku tada su stizale informacije o borbenom poretku u JNA, špijuni su javljali i da pripadnici Knoja nikad nisu utvrdili ko je iz kancelarije u Trsteniku ukrao planove za konstrukciju avionskih motora i da prazne vagone na železničkom koloseku u čačanskoj Fabrici hartije vuku četiri vola.

Do pojedinosti je bila pokrivena delatnost Vojnograđevinskog preduzeća "Ratko Mitrović" iz Čačka, u izveštajima od 23. avgusta 1951. i 17. januara 1952. Tih godina kolektiv je bio od državne važnosti, jer je "Ratko Mitrović" podizao tri vojne fabrike u ovom delu države, "Sloboda" u Čačku, "Milan Blagojević" u Lučanima i "Prva petoletka" u Trsteniku.

Kurir.rs/RINA